Elementary proof of 2^n > 2^(n-k) (3^k - 2^k) / (2^n - 3^k) provided 2^n > 3^k

The goal is to find an elementary proof of:

2^n > 2^{n-k} \frac{3^k - 2^k}{2^n - 3^k}

when 2^n > 3^k.

Known proofs of this result rely on results like Baker’s which is far from being elementary.

An elementary proof of that result would give:

  • Elementary proof of x < 2^n in a cycle of size n : this is because 2^{n-k} \frac{3^k - 2^k}{2^n - 3^k} is the biggest element of a circuit of size n with k odd integers, which is known to be bigger than the element of any Collatz cycle of size n with k odd integers (@mathkook please correct me if I’m wrong, or if I’m wrong to assume that the proof of this fact is elementary)
  • In turns, it would give an elementary proof that there are no Collatz cicruits, see this argument

It would be very frustrating to think that there is no elementary proof of this fact because the 2^n bound is not tight at all:

For n=19, we have 2^{19} = 524288 and the following values for \frac{3^k - 2^k}{2^n - 3^k} when 2^n > 3^k:

k=0 0.0
k=1 0.5000028610393202
k=2 1.2500214580404707
k=3 2.375122315030109
k=4 4.063127733891383
k=5 6.596807526071235
k=6 10.405092835764451
k=7 16.153318993834525
k=8 24.941021040046202
k=9 38.903903052882946
k=10 63.8570713117344
k=11 129.12719615372427

Something interesting is going on experimentally.

Call the highest circuit element f(n,k) = 2^{n-k} \frac{3^k - 2^k}{2^n - 3^k}, we have: f(n,k+1)/f(n,k) = \frac{2(3^k-2^k)(2^n - 3^{k+1})}{(2^n - 3^k)(3^{k+1}-2^{k+1})}

EDIT: I made a mistake in the above, the LHS is f(n,k)/f(n,k+1), see this message.

Experimentally, if you compute for all n, the biggest value of f(n,k+1)/f(n,k) when 2^n > 3^k, it converges towards 2/3:

n=0 0
n=1 0
n=2 0
n=3 0
n=4 0.2153846153846154
n=5 0.31724137931034485
n=6 0.36065573770491804
n=7 0.44670499778858913
n=8 0.4879607926699339
n=9 0.5195241871530532
n=10 0.5529511611758352
n=11 0.5689947855212576
n=12 0.5912543601305531
n=13 0.6038081804535529
n=14 0.6154792842958645
n=15 0.625104251790121
n=16 0.6314124489022447
n=17 0.6387191798952007
n=18 0.642341981306447
n=19 0.647660693918592
n=20 0.6504022823390088
n=21 0.6536357461048711
n=22 0.6557032729821307
n=23 0.657675928519633
n=24 0.6592318620608761
n=25 0.6604311331536971
n=26 0.661600555481235
n=27 0.662322316582267
n=28 0.6632005359794477
n=29 0.6636392108660232
n=30 0.6642865312803149
n=31 0.6646158856689667
n=32 0.6650266369160323
n=33 0.6652738207216681
n=34 0.665532819221093
n=35 0.665718287879567
n=36 0.665880161981553
n=37 0.6660193021515457
n=38 0.6661192725000737
n=39 0.6662236460200189
n=40 0.6662843990245483
n=41 0.6663626878372755
n=42 0.6664018287953376
n=43 0.6664575189961864
n=44 0.6664868773835576
n=45 0.6665223541847746
n=46 0.6665443742686281
n=47 0.6665667937107175
n=48 0.6665833093973109
n=49 0.6665973344193769
n=50 0.6666097214833102

Here is Python code (which you can run online):

def f(n,k):
    return 2**(n-k) * ((3**k-2**k)/(2**n - 3**k))
for n in range(51):
    max_ratio = 0
    for k in range(n):
        if 2**n <= 3**k:
            continue
        ratio = f(n,k)/f(n,k+1)
        max_ratio = max(max_ratio, ratio)
    print(f"n={n}", max_ratio)

Proving this fact (or at least that the ratio is < 2/3) would be enough to get the result.

Based on the above, we want to prove:

\frac{(3^k - 2^k)(2^n - 3^{k+1})}{(2^n - 3^k)(3^{k+1} - 2^{k+1})} < 1/3

Which magical Wolfram alpha factorises as:

(3^{k+1} - 2^{k+1})(2^n - 3^k)(2^{k+n} + 2 \times 3^{2k+1} - 7 \times 6^k) > 0

Hence, assuming 2^n > 3^k we want:

2^{k+n} + 2 \times 3^{2k+1} - 7 \times 6^k > 0

Which naïvely seems provable by induction!!?

This last thing is not hard to prove :smiley:

2^{k+n} + 2 \times 3^{2k+1} - 7 \times 6^k > 2^k + 2 \times 3^{2k+1} - 7 \times 6^k = 2^k + 6 \times 3^{2k} - 7 \times 6^k

Hence we want: 2^k + 6 \times 3^{2k} > 7 \times 6^k

Which in logs, rewrites as: 5 \times \text{log}_2(3) > 6 \times \text{log}_2(2)

Which is true: 5 \times \text{log}_2(3) \simeq 7.925

Hence, if everything is correct above this message we have an elementary proof of the inequality, of the < 2^n bound and of Elementary proof of no circuits?!!

Note that the crucial step of this proof is this factorisation given by Wolfram alpha:

Which should be verifiable by means of tedious calculations.

I’ve started formalising the proof in Lean:

So far I have proved the easiest bit (that message):

lemma magic_factorization_positive
    (k n : ℕ)
    (hk : k > 0) -- This is for 2^0 + 6*9^0 > 7*6^0
    (hn : n > 0)
    (h : 2^n > 3^k) :
    (3^(k+1) - 2^(k+1)) * (2^n - 3^k) * (2^(k+n) + 2 * 3^(2*k+1) - 7 * 6^k) > 0

Now I’m on to proving that:

f(n,k+1)/f(n,k) = \frac{2(3^k - 2^k)(2^n - 3^{k+1})}{(2^n-3^k)(3^{k+1}-2^{k+1})} which should be easy but my noobiness in Lean is not helping.

Then I’ll need to show the magic equivalence:

\frac{(3^k - 2^k)(2^n - 3^{k+1})}{(2^n-3^k)(3^{k+1}-2^{k+1})} < \frac{1}{3} \Leftrightarrow (3^{k+1} - 2^{k+1})(2^n - 3^k)(2^{k+n} + 2 \times 3^{2*k+1} - 7 \times 6^k) > 0

But since I already proved the RHS in Lean, we’ll get the LHS.

I have verified the magic step, it is just tedious.

It simply comes from turning the inequality around and then performing the following addition:

\frac{(3^k - 2^k)(2^n - 3^{k+1})}{(3^{k+1} - 2^{k+1})(3^k - 2^n)} + \frac{1}{3} > 0

The numerator of the above simplifies to:

2^{k + n + 1} - 3 \times 2^{k + n} - 3^{2 k + 2} + 3^{2 k + 1} + 2^k \times 3^{k + 2} - 2^{k + 1} 3^k

Which itself simplifies to:

-2^{k+n} - 2\times3^{2k+1} + 7 \times 6^k

The 7 comes from 9-2 = 7.

The following intermediate query helped me:

OK I made a mistake in this message, the ratio is inversed:

f(n,k)/f(n,k+1) = \frac{2(3^k-2^k)(2^n - 3^{k+1})}{(2^n - 3^k)(3^{k+1}-2^{k+1})}

but Python code was correct and what followed as well, i.e. we have:

f(n,k)/f(n,k+1) < \frac{2}{3}

But it gives only a lowerbound instead of an upperbound on the inverse: i.e. f(n,k+1)/f(n,k) > \frac{3}{2} which is interesting but not super useful, we really need an upperbound to get our result.

Interestingly, in experiments, it is only extremal values of k that are problematic:

n=47
	 k 	  f(n,k) 	 f(n,k+1)/f(n,k)
	 1 	  0.500 	 2.500
	 2 	  1.250 	 1.900
	 3 	  2.375 	 1.711
	 4 	  4.063 	 1.623
	 5 	  6.594 	 1.576
	 6 	  10.391 	 1.548
	 7 	  16.086 	 1.531
	 8 	  24.629 	 1.520
	 9 	  37.443 	 1.513
	 10 	  56.665 	 1.509
	 11 	  85.498 	 1.506
	 12 	  128.746 	 1.504
	 13 	  193.620 	 1.503
	 14 	  290.929 	 1.502
	 15 	  436.894 	 1.501
	 16 	  655.841 	 1.501
	 17 	  984.262 	 1.501
	 18 	  1476.896 	 1.500
	 19 	  2215.856 	 1.500
	 20 	  3324.339 	 1.500
	 21 	  4987.256 	 1.500
	 22 	  7482.496 	 1.501
	 23 	  11229.253 	 1.502
	 24 	  16866.961 	 1.506
	 25 	  25403.104 	 1.518
	 26 	  38572.410 	 1.557
	 27 	  60068.847 	 1.694
	 28 	  101763.246 	 2.452
	 29 	  249502.451 	 -1.660

You can see that the ratio behaves like 3/2 = 1.5 in the middle but is disturbed for high values of k. But the damage always seems to be contained at the very end (approx 7 or 8 values of k before cutoff), see this example for n=200, I also tried for n=1000 with similar result.

So, the quest to an elementary proof of

2^n > 2^{n-k} \frac{3^k - 2^k}{2^n - 3^k}

Remains open :smiley:

2 Likes

I think it is worth reporting that proving 2^n > 2^{n-k} \frac{3^k - 2^k}{2^n - 3^k} when 2^n > 3^k is implied by the following easier looking inequalities (always assuming 2^n > 3^k):

  • 6^k + 3^k < 2^{n+k} for n \geq 3
  • 6^k + 3^k < 2^{n+k} + 2^k for n \geq 0
  • 2^{n-k} + 3^k < 2^n for n \geq 3 and k \geq 1
  • 2^n \geq 3^k + 2^k for n \geq 9 (implies the second inequality)
  • 2^{n-k} \geq k+2 for n \geq 6
Reason for the last inequality - Write 3^k via binomial expansion: 3^k = (2 + 1)^k = Σ_{j=0}^k C(k,j) 2^j. - Then 3^k + 2^k = Σ_{j=0}^{k-1} C(k,j) 2^j + 2·2^k ≤ (k + 2)·2^k, since each C(k,j) ≤ 2^k and there are k terms plus the top 2·2^k. - So it suffices to show: 2^{n−k} ≥ k + 2.

The following code tests them in Python:

# 6^k + 3^k < 2^{n+k}; n >= 3; 2^n > 3^k
for n in range(3,200):
    for k in range(n):
        if 2**n <= 3**k:
            continue
        lhs = 6**k + 3**k
        rhs = 2**(n+k)
        if not lhs < rhs:
            print("oups", n, k)

# 6^k + 3^k < 2^{n+k} + 2^k; n >= 0; 2^n > 3^k
for n in range(0,200):
    for k in range(n):
        if 2**n <= 3**k:
            continue
        lhs = 6**k + 3**k
        rhs = 2**(n+k)+2**k
        if not lhs < rhs:
            print("oups", n, k)

# 2^(n-k) + 3^k < 2^n; n >= 3; k >= 1; 2^n > 3^k
for n in range(3,200):
    for k in range(1,n):
        if 2**n <= 3**k:
            continue
        lhs = 2**(n-k) + 3**k
        rhs = 2**n
        if not lhs < rhs:
            print("oups", n, k)

Newly released GPT 5 has interesting stuff to say about the first inequality, but not a correct, elementary proof yet. In particular it convinced me that the only hard case of 6^k + 3^k < 2^{n+k} is the case n = \text{ceil}(k\log_2(3)) because otherwise we have 2^{n+k} - 6^k > 6^k > 3^k.

EDIT: GPT-5 knows about Baker and proved the first inequality by using Baker’s result, which we’re trying to avoid :smiley: (note that I did not tell GPT 5 about Baker but just pointed out at the mistake in its previous proof linked above).

Interestingly 6^k + 3^k < 2^{n+k} (for n \geq 3 and 2^n > 3^k) is implied by:

\lceil(\frac{3}{2})^k\rceil - (\frac{3}{2})^k \geq (\frac{3}{4})^k

for k \geq 2.

Indeed:

2^{n+k} = 4^k 2^{n-k} > 4^k((\frac{3}{2})^k + (\frac{3}{4})^k) = 6^k + 3^k

Note that we have 2^{n-k} > (\frac{3}{2})^k by 2^n > 3^k and that because 2^{n-k} is integer we have 2^{n-k} \geq \lceil (\frac{3}{2})^k \rceil. Hence it is enough to prove: \lceil (\frac{3}{2})^k \rceil\geq (\frac{3}{4})^k + (\frac{3}{2})^k, as stated above, which experimentally holds for k\geq 2, which gives the n\geq 3 bound in the initial inequality.

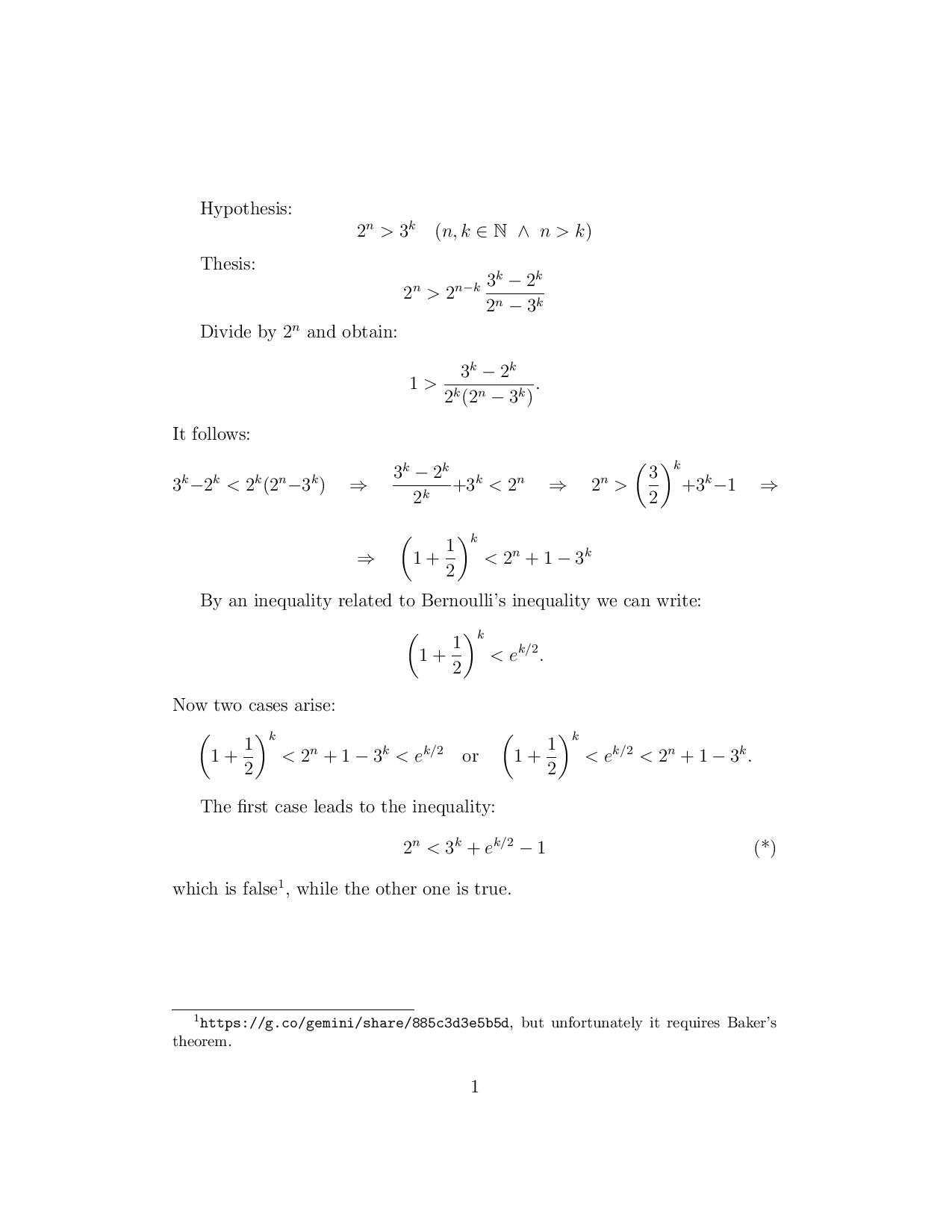
Hi Cosmo, I tried to prove your thesis. I don’t have a degree in mathematics, I’m just a hobbyist from Italy. I hope I haven’t made any mistakes. I’ll upload the JPG files from my PDF created in LaTeX (sorry, the upload reversed the pages).

Hello @Albe72 thank you for your message!

If I understand correctly, your proof relies on the fact that 2^n < 3^k + e^{k/2} - 1 is false, but your proof of this fact requires Baker’s theorem.

Hence, your final proof is not an elementary argument since it relies on Baker’s theorem.

Would you agree?

Other than that it seems correct to me :slight_smile: but the goal is to find a proof that does not rely on this super hard stuff!!

Yes, I agree. If the falsity of that inequality could be demonstrated in a simple way (by induction?), we would have solved the problem. I also thought it was interesting to point out the connection with Bernoulli’s inequality. I’ll keep trying.

1 Like

Mathematics is the queen of the sciences.
Number theory is the queen of mathematics.
Analytic number theory sucks!
– Math Kook

2 Likes

Proving this is the same as proving 2^n - 3^k > \left(\frac32\right)^k - 1, which is very likely Baker-hard.

1 Like

Yeah, in this post I’ve listed another bunch of inequalities that would be enough to prove.

So frustrating that this is so hard!!