I would like to share a simple entire function that interpolates
the accelerated Collatz (Syracuse) map on the integers.
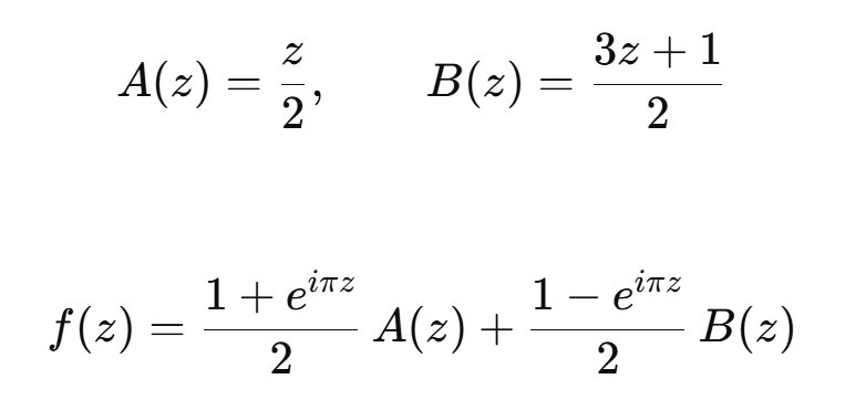
The function is defined by:
For integer values, this reproduces exactly the Syracuse map.
It can also be written as a convex combination of two affine maps:
I am interested in feedback on whether this type of analytic extension
has been studied in similar form, and whether it may be useful in the
context of complex dynamical systems.

